(
1)
利用霍普金森压杆(S
HPB
)试验系统,开展了多次震动载荷冲击煤体试验,探明了多次震动载荷作用对煤体的动力学劣化效应。
(
2)
通过低场核磁共振分析仪,从微观角度分析阐明了震动载荷对煤体微观孔裂隙结构演化特征的影响规律。煤体受震动载荷损伤、破坏的整个过程中,吸附孔体积在震动载荷初次作用下大幅增长,但随后基本保持不变直至试样完全破坏。渗流孔的连通性随着震动载荷持续作用逐渐得到提高与改善,分形维数呈线性下降趋势,当煤体破坏时孔隙率达到峰值,较煤体原始孔隙率提高约6倍。
(
3)
研究揭示了震动载荷对煤体微观孔裂隙结构的作用机制,震动载荷多次作用下煤体中部区域孔隙最先发育并逐步形成微裂隙,在后续震动波多次反射、拉伸作用下,损伤破坏区域向两侧逐渐演变直至贯通试样。
作者:
马衍坤1, 2 , 黄勤豪1, 2 , 孔祥国3 , 冯俊军4 , 殷志强1, 2 , 王 超1, 2
单位:
1. 安徽理工大学 煤矿安全高效开采省部共建教育部重点实验室; 2. 安徽理工大学 煤矿深井开采灾害防治技术科技研发平台; 3. 西安科技大学 英国正版365官方网站; 4. 安徽工业大学 建筑工程学院
我国化石能源赋存具有“富煤、贫油、少气”的基本特点,这导致在未来较长一段时间内,煤炭仍是我国能源的主体。随着煤矿开采深度逐渐增加,采场结构越发复杂,煤层开采过程中常伴随矿震、爆破及采掘活动等扰动因素,频繁对煤体施加震动载荷,持续破坏煤体的孔裂隙结构,形成累积损伤效应甚至造成大规模动力破坏,导致煤岩动力灾害的发生,严重威胁煤矿安全生产。
根据动载作用后煤岩体的最终形态,将动载荷区分为单次扰动未引起煤体宏观破裂的震动载荷和导致煤体宏观破坏的冲击载荷。
国内外学者采用实验室试验手段,对冲击载荷下煤体损伤、破坏规律进行大量研究,尤其是SHPB试验系统在煤体动力学试验研究中已被广泛运用,并借助高速摄影仪对煤体的动态破坏过程进行分析。张军胜等利用贫瘦煤开展了动态冲击试验,建立了煤的塑性硬化-软化过程动态损伤本构模型。AI等基于二维图像分析了分形维数变化,研究发现了冲击载荷作用下煤体裂纹扩展的演化规律。LI等将高速摄像和数字图像相关(DIC)技术与声发射监测(AE)同步,得到了烟煤裂纹演化规律。郑钰等利用无烟煤开展冲击试验,利用高速相机记录煤体动态破坏过程信息,并利用分形维数衡量不同冲击载荷下煤体的破碎特征。沈荣喜等借助真三轴霍普金森压杆系统结合高速摄影,得出了单轴和真三轴应力状态下煤体冲击破坏特征的区别。相关研究主要聚焦于煤体冲击载荷下的宏观破坏,尤其是表面破坏形态,未涉及煤体孔裂隙结构损伤、破坏特征。
部分学者引入3D轮廓扫描、扫描电镜(SEM)、CT断层扫描等分析技术,研究冲击载荷作用下煤体微观结构损伤特征。罗宁等利用3D轮廓扫描仪量化断裂面的粗糙度,分析循环冲击下破碎煤体的断裂面特征。陈彦龙等结合扫描电镜测试了冲击破坏后煤体断面特征,分析煤体的细观断裂机理。王登科等利用CT扫描系统对一次冲击致裂的砂岩试样进行三维裂隙重构,通过裂隙分布情况来表征砂岩的损伤。LI等对双向静载和冲击动载耦合条件下的煤体进行CT扫描3D裂纹重建,得出了动静耦合作用下煤体内部结构的损伤规律。CT断层扫描2D切片三维重构技术是一种可提供三维微观裂纹信息的无损观测方法,已在煤岩微观损伤研究领域进行广泛运用。纳米CT虽然精度较高,但其观测范围有限,对于非均质性较强的煤岩,观测结果的代表性不强。
核磁共振(NMR)是一种精度高(可检测最小孔径达0.1 nm)、无损的孔隙结构测试技术,可用于分析煤岩体孔裂隙结构的演化特征。赵洪宝等对煤体进行落锤试验,借助核磁共振分析仪获得了冲击前后煤体的
T
2
谱分布,利用孔隙数量和孔径的变化分析了煤体的微观损伤特征。LUO等对完成多次循环冲击后的煤体进行核磁共振分析,研究冲击载荷对煤层压裂效果的影响。
综上所述,实验室试验普遍采用冲击载荷,借助3D轮廓扫描、电镜扫描和CT断层扫描、核磁共振等监测手段来分析煤岩体的破坏特征。在矿井开采过程中,多次的震动载荷冲击作用会持续改变煤体物理结构与力学特性,进而对煤岩动力灾害的发生产生重要影响。
笔者针对震动载荷多次冲击作用下煤体孔隙结构的演化特征,利用霍普金森(SHPB)试验系统开展了震动载荷冲击煤体试验,借助低场核磁共振分析仪,测试了每次冲击后煤体的T2谱、孔隙率,并进行了MRI成像,分析了煤体孔隙分布及MRI成像中的信号演化规律,得到了煤体孔裂隙结构演化特征和损伤演化机制。研究揭示了震动载荷频繁冲击作用下煤岩体破坏机理,研究成果有助于进一步认识采场动载诱发煤岩复合动力灾害机理,为深部复合动力灾害防控提供科学理论支撑。
煤层开采过程中频繁采掘扰动或远场顶板周期性破断会产生多次的震动载荷,震动载荷对于煤样微观孔裂隙结构和宏观力学行为具有重要影响。为探索震动载荷下煤样孔裂隙结构演化特征,选取烟煤煤样,利用霍普金森压杆(SHPB)试验系统开展了多次震动载荷冲击煤样试验,借助低场核磁共振分析仪测试了每次冲击后煤样T2谱,并通过核磁共振成像(MRI)分析了煤样孔裂隙分布及其损伤演化特征。结果表明,随着震动载荷作用次数增加,煤样峰值应力与动态弹性模量均呈现线性下降趋势,震动载荷冲击效应使得煤样承载和抵抗变形能力显著弱化,因此有必要对煤样孔裂隙演化特征展开深入分析。
从T2谱和MRI信息得出,震动载荷初次作用下煤样总体孔隙体积大幅增加,其中吸附孔体积增高达5.0倍,随着震动载荷持续作用,煤样微裂隙开始连通汇聚形成宏观裂纹,使得渗流孔之间连通性大幅提高,煤样总体孔隙率达到峰值,较煤样原始孔隙率提高约6倍。在煤样受震动载荷损伤、破坏的整个过程中,渗流孔的连通性逐渐提高与改善,其分形维数呈线性下降趋势。通过核磁共振成像揭示了震动载荷对煤样孔裂隙作用机制,结果表明煤样中部区域孔隙最先发育并逐步形成微裂隙,在后续震动波反射、拉伸作用下,损伤破坏区域向两侧逐渐演变直至贯通试样。

图 1 煤样的 XRD 图谱

图 2 试验使用的煤样

图 3 SHPB 压杆试验系统结构示意

图 4 煤样动态应力平衡曲线

图 5 核磁共振分析仪

图 6 震动载荷冲击作用下煤样动态应力应变曲线

图 7 峰值应力和动态弹性模量变化示意

图 8 吸附孔激增阶段煤样 T2 谱演化曲线

图 9 孔隙稳定增长阶段煤样 T2 谱演化曲线

图 10 裂隙形成阶段煤样 T2 谱演化曲线

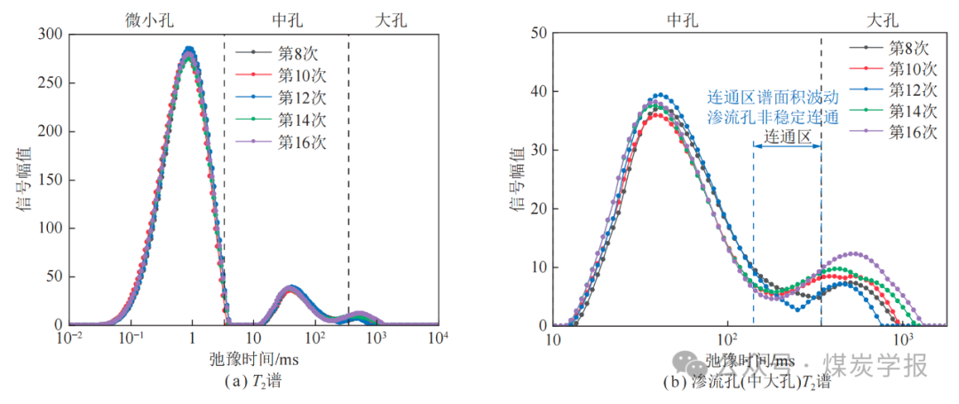
图 11 裂隙连通阶段煤样 T2 谱演化曲线

图 12 连通区谱面积及其占渗流孔谱面积的比例变化

图 13 震动载荷冲击作用后煤样 MRI 图像

图 14 能量耗散与震动载荷冲击次数关系

图 15 震动载荷冲击下渗流孔分形维数

图 16 MRI 灰度图一维像素提取原理

图 17 一维条件下震动载荷冲击后煤样的 MRI 信号变化
马衍坤,男,1985年4月11日出生,山东肥城人,中共党员,教授。2012年毕业于中国矿业大学安全技术及工程专业,同年进入安徽理工大学任教,现任英国正版365官方网站副院长、煤矿安全高效开采省部共建教育部重点实验室副主任。荣获安徽省青年拔尖人才(青年学者)、安徽省线上教学新秀。主持国家自然科学基金2项,参与国家自然科学基金重大科研仪器研制项目(部门推荐)“深地工程多场耦合动力灾变试验仪”(主要参与者),主持或参与其它国家及省部级各类科研项目20余项。
研究方向
含瓦斯煤岩动力灾害机理与防控
主要成果
始终坚持围绕“含煤岩动力灾害机理与防控”卡脖子难题,坚持关键核心技术创新攻关,在煤岩体高效致裂方面取得了一定的成果,尤其是煤岩体水力压裂及“水力-爆破”耦合致裂技术,并在企业得到转化,荣获省部级科技进步奖2项,授权国家发明专利15项,出版专著1部,发表学术论文40余篇。
来源:
马衍坤,黄勤豪,孔祥国,等. 震动载荷多次作用下烟煤孔裂隙结构演化特征试验研究[J]. 煤炭学报,2024,49(4):1882−1893.