基于氧同位素示踪法的煤潜伏期氧化活性物质结构及贡献
作者:
赵兴国a,戴广龙a,秦汝祥a,b,周亮a,李金虎a,李金亮a,何茵楠c
单位:
a. 安徽理工大学 英国正版365官方网站
b. 安徽理工大学 煤炭安全精准开采国家地方联合工程研究中心
c. 淮南师范学院 经济与管理学院
1摘要
采用氧同位素示踪法测定引发煤自燃活性物质的结构和贡献。在人为改变氧同位素比值后,煤样在18O2气氛下,进行了不同温度、不同氧化次数以及不同煤样的等温氧化。首先,通过循环氧化实验得到了煤的氧化产气特性,提供了气体同位素试验的基本参数。然后使用同位素比质谱仪测试被18O标记的氧化产物,分析煤中的原始活性物质的结构及贡献。最后,使用XPS测定了煤中官能团的演化,分析了活性物质的转化途径。结果表明,在氧化过程中,70%以上的CO是由煤中原有的羟基和醛生成的,99%以上的CO2是由煤中原有的羧基生成的。抑制羟基、醛、羧基的氧化分解可以有效控制煤自燃,解决低阶煤氧化引起的CO溢出问题。
2创新点
1.将氧同位素示踪法与应用在煤燃烧领域。
2.70 %的CO是由原来的羟基和醛基产生。
3.99 %的CO2是由煤中原始的羧基产生。
4.烷基结构生成CO的临界温度在60 ~ 70 ℃之间。
取得的主要成果如下:
(1)确定了煤氧化生成CO的活性基团种类及贡献。氧化过程中,70 %以上的CO是由煤中原有的羟基和醛生成的,剩下的CO来自煤中烷基结构的氧化。
(2)60 ~ 70 ℃是烷基结构氧化生成CO速度快速升高的临界温度。从60 ℃到70 ℃,烷基结构氧化生成CO的比例从7.16%增加到10.38%。同时,CO的产出率迅速提高。在临界温度以上,烷基结构氧化成CO的速度迅速增加。
(3)羧基是氧化生成CO2的主要活性物质。不同条件下氧化CO2的A32均大于99%,在氧化过程中,99 %以上的CO2是由煤中原有的羧基产生。
(4) 低变质煤比中等变质煤中具有更多的羟基和醛基,从而产生更多的CO,通过抑制羟基和醛的氧化分解可以解决低变质煤煤矿的CO超限问题。
3部分图表

实验策略

实验的过程与装置

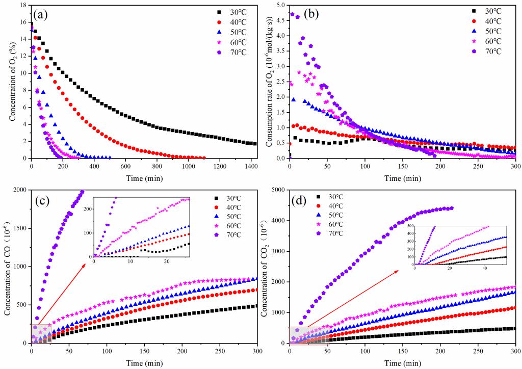
不同温度煤的氧化产气特性

不同温度、不同氧化时间以及不同煤样氧化生成CO的A18
(A18表示氧化生成CO的氧原子来源于外部氧气比例)



不同温度、不同氧化时间以及不同煤样氧化生成CO2的A32、A34和A36
(A32、A34和A36分别表示CO2的氧原子分别来源于煤本身、煤和氧气各一个以及全部来源于氧气的比例)

原煤及氧化煤的AT(AT表示煤的18O原子百分数)

原煤和氧化煤的XPS光谱

C 1s峰的分峰拟合

活性物质的结构及贡献
作者简介

赵兴国,男,1995年2月生,江苏沛县人,博士,安徽理工大学舜耕青年英才(校聘副教授)。
研究方向:
火灾防治理论与技术
主要成果:
在煤燃烧国际期刊《煤炭学报》、《Energy》、《Fuel》和《Combust. Sci. Technol.》等期刊以第一或通讯作者发表论文8篇,担任多个TOP期刊审稿人。
本文引用格式:
Zhao X. G., Dai G. L., Qin R. X., et al. Structures and contributions of active substances in the latent oxidation of coal based on the oxygen isotope tracer method[J]. Energy, 2024,291:13.